新闻中心
由于目前国家大力发展工业,因此很多仪器仪表使用量逐渐增多,电磁流量计由于适用范围广,受介质影响较小,因此被各大工业场合广泛使用。
大家在选购的过程中,关于电磁流量计的口径这个问题可能并不太清楚,就比如dn40这个口径,它是指管道的外径为40mm,不同的管道应该适合不同的口径,很多人在选购电磁流量计的时候一味追求质量,但对电磁流量计并不了解,这就很容易被一些不良厂家忽悠,那么下面我给大家简单介绍一下电磁流量计。
原理:电磁流量计(Electromagnetic Flowmeters,简称EMF)是20世纪50~60年代随着电子技术的发展而迅速发展起来的新型流量测量仪表。 电磁流量计是应用电磁感应原理, 根据导电流体通过外加磁场时感生的电动势来测量导电流体流量的一种仪器。
结构:电磁流量计的结构主要由磁路系统、测量导管、电极、外壳、衬里和转换器等部分组成。
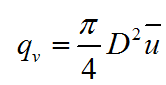
口径与量程的选择:变送器口径通常选用与管道系统相同的口径。如果份道系统有待设计,则可根据流母范围和流速来选择口径。对于电磁流量计来说,流速以2-4m/s较为适宜。在特殊情况下. 如液体中带有固体颗粒,考虑到磨损的情况,可选常用流速≤3m/s,对于易附管壁的流体,可选用流速≤2m/s,流速确定以后,可根据

来确定变送器口径。
变送器的量程可以根据两条原则来选择:一是仪表满量程大于预计的最大流量值,二是正常流值大于仪表满量程的50%,以保证一定的测量精度。
仪表安装方法
电磁流量计简单说是由流量传感器变送器组成的。电磁流量计的安装要求是一定要安装在管路的最低点或者管路的垂直段,但是一定是在满管的情况下,对直管段要求是前5D后3D,这样才能保证电磁流量计的使用和对精度的要求。
电磁流量计的测量原理不依赖流量的特性,如果管路内有一定的湍流与漩涡产生在非测量区内(如:弯头、切向限流或上游有半开的截止阀)则与测量无关。如果在测量区内有稳态的涡流则会影响测量的稳定性和测量的精度,这时则应采取一些措施以稳定流速分布:
1. 增加前后直管段的长度
2. 采用一个流量稳定器
3. 减少测量点的截面。
1.对外部环境的要求
1.1.流量计应避免安装在温度变化很大或受到设备高温辐射的场所,若必须安装时,须有隔热、通风的措施。
1.2.流量计最好安装在室内,若必须安装于室外,应避免雨水淋浇,积水受淹及太阳暴晒,须有防潮和防晒措施。
1.3.流量计应避免安装在含有腐蚀性气体的环境中,必须安装时,须有通风措施。
1.4.为了安装、维护、保养方便,在流量计周围需有充裕的安装空间。
1.5.流量计安装场所应避免有磁场及强振动源,如管道振动大,在流量计两边应有固定管道的支座。
1.?2.?管道式电磁流量计
2.1.对直段的要求
为了改善涡流与流场畸变的影响,流量计安装的前、后直管段长度有一定要求,否则会影响测量精度(也可安装整流器,尽量避免在靠近调节阀和半开阀门之后安装)。
2.2.对工艺管的要求
流量计对安装点的上、下游工艺管有一定的要求,否则影响测量精度。
a.上、下游工艺管的内径与传感器的内径相同,并应满足:0.98DN≤D≤1.05DN(式中DN:传感器内径,D:工艺管内径)
b.工艺管与传感器必须同心,同轴偏差应不大于0.05DN
2.3.旁通管的要求
为了方便检修流量计,最好为流量计安装旁通管,另外,对重污染流体及流量计需清而流体不能停止的,必须安装旁通管。
a.方便流量计的检修
b.对重污染流体必须安装
c.流体不能停止而流量计需清洗
3.插入式电磁流量计安装要求
3.1.对直管段的要求
入口/出口直管段:入口应≥10×DN;出口应≥5×DN
3.2.对接地点要求
为了使仪表可靠的工作,提高测量精度,不受外界寄生电势的干扰/传感器应有良好的接地,接地电阻小于10.(若金属管道接地良好时,无须专设接地装置)3.3 对安装位置要求如图所示
插入电磁流量计根据现场管路情况不一,不加装球阀的流量计,应在不带压倒管路上安装(即不带压安装可选择不加装球阀的流量计),在管道上开孔直径50,准备把连接焊管焊接在管道的开孔上;对于要求不断流装卸或不允许介质溢出的场合,须加装球阀,即选择带球阀结构的插入式电磁流量计;在管道上开孔直径50,准备把连接焊管焊接在管道的开孔上。
通过上面我为大家介绍的电磁流量计,想必大家对电磁流量计有了一个清晰的认识,大家在选购的时候不能一味追求质量,还有一个问题就是一些参数的选择,例如口径这个问题,dn40只是众多口径中的一款,具体需要多大的口径还需要根据工况现场的工况来定,因为一旦口径对不上,那么将不能安装,到时侯白花了冤枉钱不说,还会因耽误工业进程而蒙受更大的损失,那将得不偿失了。